In short, if you are able to apply for STC’s with your battery installation and that battery has in-built overcurrent protection, then battery arc flash hazard signage is not required (at the time of writing this article). If you want to know why, feel free to continue reading.
According to Table of 3.1 in AS/NZS5139:2019, all batteries have an energy hazard and in Clause 3.2.4 an Energy hazard is defined as Arc Flash. So, at this point, every battery has an arc flash hazard potential. But Clause 7.11 states that Arc Flash Hazard signage is required when it is above the categorization of greater than “Minor” based on Table 6.1. We can first get into the weeds about a Table in Section 6 only applying to Section 6 batteries but let’s say that it applies to all batteries for the sake of this thought experiment.
Greater than Minor
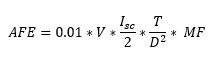
What does “greater than Minor” mean and is it common or not? Greater than minor per Table 6.1 means any arc flash energy greater than 4.0 cal/cm2. This is calculated with the Arc Flash Energy equation provided in Clause 3.2.4.2.1. The equation is as follows with a few simplifications:
Where:
| AFE | Arc Flash Energy, assume 4.0 for our thought experiment | cal/cm2 |
| V | System voltage | V |
| I_sc | Fault current or short circuit current of the battery | A |
| T | Breaking time of the overcurrent protection device | sec |
| D | Working distance from the battery, standard says a maximum of 45cm | cm |
| MF | A value based on open space, if dedicated room then 1.5 otherwise 3 | unitless |
Arcing Time
So, if we leave voltage and short circuit current alone for a second, let’s take a look at arcing time. If we assume:
- Every Section 4 or Section 5 battery has a built-in circuit breaker with the maximum size typically being 63A
- The circuit breaker type is often a C-curve breaker
Then C-curves have an instantaneous trip rating at 5-10 times the rated current or beyond, see Figure 1 below.
Figure 1. Trip curve rating for common circuit breaker sizes. Time on the Y axis in seconds and multiple of rated current on the X axis
This means that any battery with an Isc > 630A would trip instantaneously, which is effectively every battery on the market. For comparison the average short circuit current on the market is 2.5kA and the largest closer to 4kA. A conservative tripping time would be 0.1s or 100ms. Often it will happen faster (eg. within 10ms) but 100ms should be guaranteed.
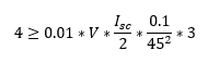
With that information at our disposal, we can calculate the most conservative scenario.
Which goes to:
Below, we assume some possible system voltages and get the maximum allowable Isc values for the system.
- For 1500V => allowable Isc = 3.6kA
- This is the maximum allowable voltage per AS/NZS 5139 but nothing is on the market with this
- This is the maximum allowable voltage per AS/NZS 5139 but nothing is on the market with this
- For 600V => allowable Isc = 9kA
- Essentially the highest battery voltages currently on the market
Lastly, if we take the largest available short circuit current per battery of 3.5kA, we would need 3 of them in parallel to reach the 9kA value. Some batteries do allow up to 3 parallel stacks so that fault current at the system level is theoretically possible. However, most batteries have a built-in overcurrent protection device as identified earlier. This means that each stack is protected internally and thus that theoretical system fault will not represent the arc current, only the fault current of a single stack. Thus, it is not possible to reach the 9kA threshold which would require arc flash hazard signage when using Section 4 or 5 batteries.
Understanding the standards around battery safety is just one part of designing and installing compliant battery storage systems. If you’re looking to build on this knowledge and gain your SAA accreditation, GSES offers the Grid-Connected Battery Storage Systems Design and Install course. It covers everything from system design and component selection to installation requirements and relevant Australian standards. Enrol today and take the next step in your battery storage career.
Questions? Contact us.




